Tracking small songbirds generates important insights into avian ecology, but does not always work out the way you planned
LINKED PAPER
Context‐dependent effects of radio transmitter attachment on a small passerine. Snijders, L., Weme, L. E., Goede, P., Savage, J. L., Oers, K., & Naguib, M. 2016. Journal of Avian Biology. DOI: 10.1111/jav.01148. VIEW
I am not discouraged, because every wrong attempt discarded is another step forward
– Thomas Edison
The information we get from animal tracking is powerful. It gives us the chance to peek into the elusive daily lives of animals to learn where they spend their time and with whom. Some people fear that the more you learn, the more you will loose the feeling of wonder. But I think this fear is unjustified, the feeling of wonder even becomes stronger.
Biotelemetry provides us with important insights into animal behaviour, both fundamentally and applied (Cooke et al. 2008, Hays et al. 2015). Information on spatial movement and proximity has informed scientific fields covering movement ecology, social networks, disease ecology and life-history-theory, but also applied fields concerned with wildlife management and conservation (Fig. 1).

As scientists, we tend to look up the boundaries of what is possible to get novel and important insights. Biologists using animal tracking technology are no exception, actually, they are usually at the forefront. Transmitters are getting smaller and more powerful and we are eager to apply them to our study systems. Excitingly, smaller transmitters now allow tracking smaller animals. But if you are one of the firsts to try a new method there are also some risks involved.
Several weight thresholds have been proposed for biotelemetry to reduce such risks, of which the 5% rule (transmitters should not weigh more than 5% of the subject’s weight) is probably the best known. But also 3% and 10% thresholds have been recommended (Amelon et al. 2009, Gustafson et al. 1997). While transmitters should always be as light as possible, the proposed thresholds seem a bit arbitrary. Scientific evidence accumulates that certain species do not show negative effects while wearing >5% transmitters (even 12% in a recent bat study), while others show effects with much less weight or by merely wearing flipper bands (Saraux et al. 2011).
Video 1 This is a short video of my PhD project in general and also shows the tagging procedure
My PhD project involved spatially tracking the social behaviour of Great Tits Parus major with a focus on personality, social networks and parental coordination (Video 1). I was very excited with the prospect of elucidating the cryptic daily lives of this common songbird. The transmitters we used were part of the novel Encounternet system which allows tracking multiple individuals simultaneously (Figure 2). The transmitters were close to 5% tag weight (5.5%), but because of repeated battery failure we changed to a slightly heavier battery and thus a slightly heavier transmitter later in the project (7.3%).

I did not expect negative effects for our birds and indeed, for the three years we have tagged the birds in early spring, we did not detect negative effects on the likelihood of recapturing them. However the birds we tagged during reproduction told a more complicated story. Also these birds did not show an effect on the likelihood of us recapturing them later in the season, but the chances of them deserting their nest after tagging did seem to be affected.
I was somewhat shocked when I for the first time was confronted with deserted broods. I had not even considered the possibility. Later I learned that brood desertion is not uncommon in Great Tits, but our statistical analyses clearly revealed that the tagging procedure also had an effect. We changed our protocol the next year, by tagging the parents at a later age of the chicks, assuming this would make the chicks less vulnerable and the parents less likely to desert their brood. And, indeed, this year none of the tagged pairs deserted. Hopeful, we continued with the same seemingly successful protocol in the third year. But again some of the first parents we tagged deserted and we stopped the project immediately. What was going on?

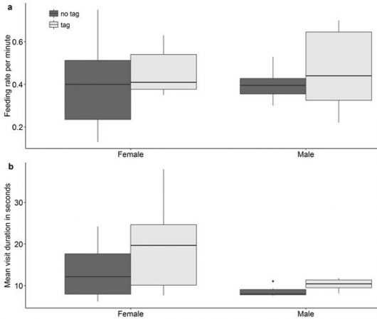
For the year in which the birds did not desert the broods, we collected video footage of the parental provisioning behaviour (Figure 3), but the tagged parents did not seem to be doing worse than the control group (handled but not tagged). A statistical analysis including several predictors provided some insights. Surprisingly (for me), birds with a larger brood size were more likely to desert and, unsurprisingly, colder temperatures had an additional effect (Figure 4). So, it seemed that either the parents that deserted were already too close to their energetic limits or that chicks in larger broods and colder environments could not hold out long enough while their parents got used to the transmitters.

This whole experience has taught me three important lessons about biotelemetry (and science).
- It is important to also consider the possible consequences of tagging for third parties (such as chicks). This is not only a thing to consider in biotelemetry, also other techniques, such as pitfall traps.
- While making the trade-off between the value of scientific advancement and the potential ethical consequences of tagging, we can probably do better than merely focusing on relative weight. The position of the transmitter the body, the tagging procedure in general (capture and restraint), the life stage of the animal and the environmental conditions can all be just as decisive in determining whether an animal will experience (and show!) an effect (Wilson et al. 2015).
- Unfortunately, very few studies using biotelemetry report on tests for tag effects, which makes it challenging for the scientific community to learn about what works and what doesn’t (Barron et al. 2010, Godfrey and Bryant 2003). Even if studies do not work according to plan, it is important to also give others the opportunity to learn from them. This way we avoid, as a community, to do the same thing over and over again. By also sharing our ‘mistakes’ or unexpected outcomes we can move science a small step forward (I think).
References and further reading
Amelon, S., Dalton, D., Millspaugh, J. & Wolf, S. 2009. Radiotelemetry; techniques and analysis. In: Kunz, T.H. & Parsons, S. (eds). Ecological and Behavioral Methods for the Study of Bats (Pp. 57-77). Baltimore, USA: Johns Hopkins University Press.
Barron, D.G., Brawn, J.D. & Weatherhead, P.J. 2010. Meta-analysis of transmitter effects on avian behaviour and ecology. Methods Ecol. Evol. 1: 180-187. VIEW
Cooke, S.J. 2008. Biotelemetry and biologging in endangered species research and animal conservation: relevance to regional, national, and IUCN Red List threat assessments. Endanger. Spec. Res. 4: 165-185. VIEW
Godfrey, J.D. & Bryant, D.M. 2003. Effects of radio transmitters: Review of recent radio-tracking studies. In: Williams, M.J. (ed) Science for Conservation (Pp. 83-95). ISSN: 1173-2946. VIEW
Gustafson, M., Hildenbrand, J. & Metras, L. 1997. The North American Bird Banding Manual (electronic version). Version 1.0. VIEW
Hays, G.C. 2015. New insights: animal-borne cameras and accelerometers reveal the secret lives of cryptic species. J. Anim. Ecol. 84: 587-589. VIEW
Saraux, C., Le Bohec, C., Durant, J.M., Viblanc, V.A., Gauthier-Clerc, M., Beaune, D., Park, Y.-H., Yoccoz, N.G., Stenseth, N.C. & Le Maho, Y. 2011. Reliability of flipper-banded penguins as indicators of climate change. Nature. 469: 203-206. VIEW
Snijders, L., van Rooij, E.P., Burt, J.M., Hinde, C.A., van Oers, K., Naguib, M. 2014. Social networking in territorial great tits: slow explorers have the least central social network positions. Anim. Behav. 98: 95-102. VIEW
Snijders, L., van Oers, K. & Naguib, M. 2017a. Sex-specific responses to territory intrusions in a communication network: evidence from radio-tagged great tits. Ecology and Evolution. 7: 918-927. VIEW
Snijders, L., Nieuwe Weme, L.E., De Goede, P., Savage, J.L., van Oers, K. & Naguib, M. 2017b. Context-dependent effects of transmitter attachment. Avian Biol. DOI: 10.1111/jav.01148. VIEW
Weiser, E.L., Lanctot, R.B., Brown, S.C., Alves, J.A., Battley, P.F., entzen, R., Bêty, J., Bishop, M.A., Boldenow, M., Bollache, L., Casler, B., Christie, M., Coleman, J.T., Conklin, J.R., English, W.B., Gates, H.R., Gilg, O., Giroux, M.-A., Gosbell, K., Hassell, C., Helmericks, J., Johnson, A., Katrínardóttir, B., Koivula, K., Kwon, E., Lamarre, J.-F., Lang, J., Lank, D.B., Lecomte, N., Liebezeit, J., Loverti, V., McKinnon, L., Minton, C., Mizrahi, D., Nol, E., Veli-Matti Pakanen, Johanna Perz, Ron Porter, Jennie Rausch, Jeroen Reneerkens, Nelli Rönkä, Saalfeld, S., Senner, N., Sittler, B., Smith, P.A., Sowl, K., Taylor, A., Ward, D.H., Yezerinac, S. & Sandercock, B.K. 2016. Effects of geolocators on hatching success, return rates, breeding movements, and change in body mass in 16 species of Arctic-breeding shorebirds. Movement Ecology 4: 12. DOI: 10.1186/s40462-016-0077-6. VIEW
Wilson, R.P., Sala, J.E., Gómez-Laich, A., Ciancio, J. & Quintana, F. 2015. Pushed to the limit: food abundance determines tag-induced harm in penguins. Anim Welfare 24:37-44. VIEW
Image credit
Featured image: Great Tit Parus major © Lysanne Snijders
If you want to write about your research in #theBOUblog, then please see here.

